Danh mục sản phẩm
Sản phẩm nổi bật
Module RS485 GC-01
Module đo xa GP-03
Module đo xa GP-02
CÔNG TƠ ĐIỆN TỬ 1 PHA VSE11-S
Biến Dòng Kẹp Fort 4000/5A
CÔNG TƠ ĐIỆN TỬ 3 PHA GIÁN TIẾP ME-41
CÔNG TƠ ĐIỆN 3 PHA EMIC 5(6)A
Hỗ trợ trực tuyến
0824771090
Thống kê truy cập
- Đang online 0
- Hôm nay 0
- Hôm qua 0
- Trong tuần 0
- Trong tháng 0
- Tổng cộng 0
CÔNG TƠ 1 PHA EMIC 5(20)A
CV140
EMIC
12 Tháng
Công tơ điện 1 pha EMIC CV140 5(20)A là kiểu đồng hồ điện 1 pha được hãng EMIC sản xuất tại Việt Nam. Công tơ 1 pha EMIC sử dụng nhiều trong chung cư, nhà dân, nhà trọ hoặc các khu đô thị phức hợp cho thuê để tính điện năng tiêu thụ. Công tơ điện EMIC 1 pha CV140 5(20)A có dòng điện định mức là 5A và dòng quá tải là 20A. Công tơ điện 1 pha 2 dây loại CV có đặc tính và độ tin cậy cao, dùng để đo năng lượng dạng hữu công (kWh) ở lưới điện xoay chiều 1 pha 2 dây.
Công tơ điện 1 pha EMIC CV140 5(20)A

Công tơ điện 1 pha EMIC sử dụng rộng rãi trong dân dụng và gia đình. Số hiển thị sẽ được tính theo số vòng quay của đĩa.
Số vòng quay của đồng hồ điện 1 pha EMIC 5(20)A là 900 vòng/kwh.
Công tơ điện 1 pha 2 dây loại CV140 có đặc tính và độ tin cậy cao, dùng để đo năng lượng dạng hữu công (kWh) ở lưới điện xoay chiều 1 pha 2 dây.
- Hiệu chỉnh dễ
- Mômen quay lớn.
- Ma sát nhỏ.
- Độ nhạy cao.
- Tổn thất thấp.
- Ảnh hưởng nhiệt độ thấp
- Gối đỡ dưới 2 chân kính hoặc gối từ.
- Chống ăn cắp điện: cơ cấu chống quay ngược hoặc bộ số một hướng.
- Hình dáng: Tròn hoặc vuông.
- Độ ổn định cao.
- Chịu quá tải lớn.
- Chịu điện áp cao
Các thông số chính của công tơ điện EMIC 1 pha 5(20)A:
- Điện áp danh định pha : 220VAC
- Tần số danh định : 50Hz
- Dòng điện định mức : 5A
- Dòng điện quá tải : 20A
- Dải điện áp giới hạn làm việc danh định : 0.9-1.1 Un
- Cấp chính xác : 2
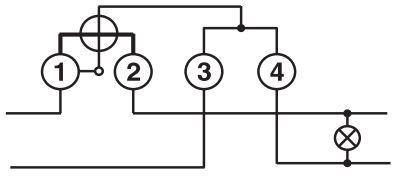
Sơ đồ đấu dây công tơ điện 1 pha 5(20)A EMIC chính hãng

Giấy chứng nhận kiểm định Công tơ điện (đồng hồ điện, điện kế) 1 pha EMIC 5(20)A tại Công ty Thí Nghiệm Điện Miền Nam

Hàng chính hãng và đã được kiểm định tại công ty Thí Nghiệm Điện, hàng chất lượng giá nên giá cả sẽ cao hơn so với hàng trôi nổi. Hàng được bảo hành 12 tháng 1 đổi 1 nếu có lỗi của nhà sản xuất.
(Công ty chúng tôi KHÔNG CUNG CẤP công tơ điện 1 pha giá rẻ 80k-200k, công tơ điện Trung Quốc).
Công ty TNHH Thiết Bị Điện Xanh là đại lý cung cấp công tơ điện 1 pha EMIC chính hãng tại TP. Hồ Chí Minh (Sài Gòn), Hà Nội và các tỉnh thành toàn bộ lãnh thổ Việt Nam.
| Mã sản phẩm | Chi tiết sản phẩm | Thông số kỹ thuật |
| CV140 5(20)A | Công tơ điện 1 pha EMIC 5(20)A | 5(20)A, CCX 2, 220/240VAC |
| CV140 10(40)A | Công tơ điện 1 pha EMIC 10(40)A | 10(40)A, CCX2, 220/240VAC |
| CV140 20(80)A | Công tơ điện 1 pha EMIC 20(80)A | 20(80)A, CCX2, 220/240V |
| CV130 40(120)A | Công tơ điện 1 pha EMIC 40(120)A | 40(120)A, CCX2, 220/380V |
Sản phẩm cùng loại













